Kurz
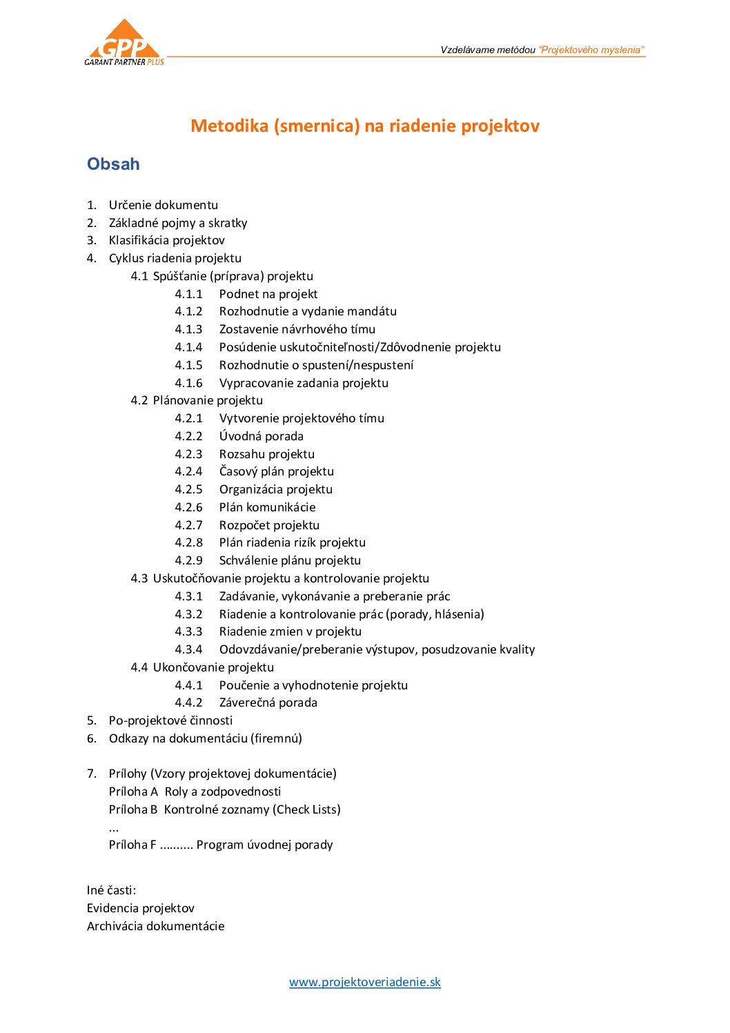
Smernica riadenia projektov (a zákaziek)
Informujte sa:
Petr Všetečka
+421 905 800 995
vsetecka@projektoveriadenie.sk
Vaša interná smernica - funkčný nástroj na riadenie projektov a zákaziek
- Hľadáte osvedčené riešenia, ktoré okamžite zvýšia úspešnosť vašich projektov a zároveň znížia časové aj finančné straty?
- Chcete zefektívniť riadenie projektov a zákaziek vo vašej firme?
- Chcete si rýchlo a jednoducho vytvoriť vlastnú firemnú smernicu/metodiku riadenia zákaziek?
Predstavujeme vám komplexnú smernicu (firemnú metodiku) riadenia projektov – editovateľný balík dokumentov, ktorý vám umožní profesionálne riadenie projektov a zákaziek bez typických chýb, časových oneskorení a neplánovaných výdavkov.
Prečo je Smernica riadenia projektov
nevyhnutná pre úspech vašich projektov a zákaziek?
Smernicu riadenia projektov môžete využiť ako súčasť vášho integrovaného manažérskeho systému (IMS).
Bez jasného projektového manažmentu sa strácajú peniaze, zákazníci aj dobrá povesť. Vaša smernica riadenia projektov a zákaziek vám poskytne:
- Presné návody na prípravu, realizáciu a ukončenie projektov.
- Praktické šablóny a checklisty na udržanie kontroly.
- Jednoduché nástroje na správu rizík, zmien a komunikácie.
Jedná sa o praktické, rýchle, okamžite použiteľné riešenie najmä pre malé a stredné firmy...
Pre koho je smernica riadenia projektov určená?
Túto Smernicu riadenia projektov/zákaziek (a ich kvality) ocenia najmä:
- Majitelia a riaditelia malých a stredných firiem (CEO).
- Riaditelia výroby a manažéri kvality (QM).
- Projektoví manažéri (PM) a vedúci kancelárií projektového manažmentu (PMO - Project Management Office).
Smernica riadenia projektov je univerzálna a využiteľná pre:
- podnikatelské subjekty,
- verejnú správu,
- neziskové organizácie a 3. sektor.
Je jedno, či ste nováčik alebo skúsený manažér...
Smernica vás povedie krok za krokom k úpspechu

Priebeh kurzu
Termín realizácie kurzu vám prispôsobíme (spúšťame aj pre 1 organizáciu)
Zakúpenie kurzu
Vyberte si licenciu (pre 1 firmu/IČO)
alebo multilicenciu (pre viac firiem/IČO v skupine firiem).
Teoretické znalosti
Využite video-audio kurz "Projektový manažér za 10 dní" (je v cene tohto kurzu).
Alebo živý kurz Akadémia PM/Projektové minimum alebo knihu Projektové myslenie.
Pred kurzová samopríprava
Smernicu si stiahnite a prečítajte.
Pripravte si otázky na kurz.
Online kurz, 1. časť (4 hod)
Spoločne si smernicu prejdeme a odpoviem na vaše otázky.
Pripravíte si otázky/otvorené body na manažment vašej firmy.
Medziobdobie (1 týždeň)
U manažmentu vašej firmy overíte otvorené body.
Pripravíte si otázky na kurz.
Online kurz, 2. časť (4 hod.)
Odpoviem na vaše otázky.
Smernicu si dopracujete.
Po kurze
Záujemcovia si môžu doobjednať konzultácie (platené).
Dohodneme si ďalší rozsah poradenstva pri zavádzaní Smernice PM do praxe.
Autorská práva
Editovateľná šablóna Smernice riadenia projektov je duševným vlastníctvom spoločnosti GARANT PARTNER PLUS, s.r.o. Po zakúpení kurzu a licencie ju môžete editovať a vydať ako firemný štandard pre jednu firmu (jedno IČO).V prípade využívania šablóny pre viac firiem v skupine (viac IČO), je potrebné dokúpiť multilicenciu.
Šablónu je zakázané ďalej distribuovať alebo predávať tretím stranám.
Objednaní kurzu akceptuje tieto podmienky autorských práv.
Odomknite váš úspech. Predstavte si, že...
- Každý váš projekt ide podľa plánu a každý člen tímu presne vie, čo má robiť.
- Zákazky sa odovzdávajú načas, bez nečakaných problémov a bez zbytočných nákladov navyše.
- Ak už v projekte vzniknú problémy, presne viete ako postupovať a ako ich vyriešiť.
- Váš tím pracuje efektívne, vy máte všetko pod kontrolou a namiesto stresu sa venujete rastu vášho podnikania.
S vašou novou smernicou riadenia projektov sa tento cieľ stáva realitou.
Vyberte si licenciu
Chcem sa poradiť
Kontakt na garanta:
Petr Všetečka
+421 905 800 995
vsetecka@projektoveriadenie.sk
Online kurz + 1 licencia
OBSAHUJE
Editovatelný text smernice (pre potreby 1 firmy/IČO)
Online kurz ako smernicu upraviť na vaše podmienky
Video-audio kurz "Projektový manažér za 10 dní" (BONUS)
CENA
1.000 € licencia pre 1 firmu
500 € online kurz
0 € video-audio kurz
Voliteľné:
300 € ďalší účastník kurzu
(ceny sú bez DPH)
Online kurz + multi licencia
OBSAHUJE
Editovatelný text smernice (pre potreby 2 až 5 firiem/IČO v skupine)
Online kurz ako smernicu upraviť na vaše podmienky
Video-audio kurz "Projektový manažér za 10 dní" (BONUS)
CENA
2.000 € multi licencia
pre 2 až 5 firiem v skupine
500 € online kurz
0 € video-audio kurz
Voliteľné:
300 € ďalší účastník kurzu
(ceny sú bez DPH)
Garancia kvality a naše záruky

"Robiť veci jednoducho nie je vôbec jednoduché.“
My to pre vás robíme už od roku 2007.
Garanciou kvality je sám tvorca metodiky Petr Všetečka - autor úspešnej anglicko-slovenskej knihy Projektové myslenie, ktorá sa stala základom pre spracovanie smernice.
Smernica na riadenie projektov a zákaziek predstavuje naše dlhoročné know-how, ktoré dostanete v editovateľnej elektronickej forme. S ohľadom na elektronický produkt vám bohužial nemôžeme poskytnúť štandardné záruku na vrátenie tovaru, rovnako ako tomu je u iných elektronických produktov.
Veríme však, že budete veľmi spokojní, ako mnoho zákazníkov pred vami ...
Čo na to naši zákazníci? Jeden príklad za všetkých...
Audítor skoro odpadol
Ďakujeme za pomoc pri zavádzaní projektového riadenia do firmy VONSCH. Audítor skoro odpadol, keď videl, ako máme spracovanú Smernicu na riadenie projektov a ako máme vedené projekty.
Také niečo vraj ešte nevidel.
Ďakujeme za spoluprácu.
Naši zákazníci oceňujú najmä:
- Okamžité nasadenie metodiky bez zložitého nastavovania.
- Editovateľné dokumenty vo Worde – prispôsobíte si ich podľa vlastných štandardov.
- Ušetríte desiatky hodín práce vďaka hotovým šablónam a checklistom.
- Získate jasný systém pre riadenie projektov a zákaziek v celej firme.
- Jednoduché a zrozumiteľné postupy aj pre malé tímy a firmy bez PM oddelenia.
- Bonusové video kurzy a audio návody na rýchle pochopenie postupov.
- Zníženie stresu a neistoty v tíme vďaka prehľadným pravidlám.
- Rýchla návratnosť investície – metodika sa vyplatí už pri prvom projekte.
- Know-how pripravené odborníkmi – nemusíte vymýšľať procesy od nuly.
- Poriadok v projektovom riadení namiesto chaosu a nejasností.

Hladáte iné riešenie alebo sa chcete poradiť?
Kontaktujte autora...
Autor smernice a váš konzultant
doc. Ing. Petr Všetečka, PhD.
autor anglicko-slovenskej knihy Projektové myslenie (PTBOK Guide)
certifikovaný projektový manažér IPMA Level B a PRINCE2 Practitioner
certifikovaný lektor projektového riadenia IPMA Level A (CCT)
+421 905 800 995, vsetecka@projektoveriadenie.sk
pre priateľov "Peťo"
OBJEDNÁVKA
online kurz + editovateľná Smernica riadenia projektov
(1 licencia, pre jednu firmu/IČO)
Autorská práva
Šablóna Smernice PM je duševným vlastníctvom spoločnosti GARANT PARTNER PLUS, s.r.o. Po zakúpení kurzu a licencie ju môžete editovať a vydať ako firemný štandard pre jednu firmu (jedno IČO). V prípade využívania pre viac firiem v skupine (viac IČO), je potrebné dokúpiť multilicenciu. Šablónu je zakázané ďalej distribuovať alebo predávať tretím stranám. Prejsť na multilicenciu (KLIKNI).
Vaše osobné údaje sú u nás v bezpečí.
Do "Poznámky" uveďte meno, priezvisko a e-mail účastníka/ov kurzu
(ak sú údaje odlišné od fakturačných údajov).





